跳至内容
PsychStatsWiki
用户工具
登录
站点工具
搜索
工具
显示页面
修订记录
反向链接
最近更改
媒体管理器
网站地图
登录
>
最近更改
媒体管理器
网站地图
您的足迹:
两个效应大小关系.png
两个效应大小关系.png
日期:
2023/03/30 08:57
名称:
两个效应大小关系.png
格式:
PNG
大小:
4KB
宽度:
182
高度:
113
相关的:
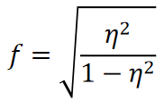
重复测量方差分析的效应大小
此列表可能不完全是由ACL限制和隐藏的页面。
页面工具
返回到 重复测量方差分析的效应大小
回到顶部