跳至内容
PsychStatsWiki
用户工具
登录
站点工具
搜索
工具
显示页面
修订记录
反向链接
最近更改
媒体管理器
网站地图
登录
>
最近更改
媒体管理器
网站地图
您的足迹:
t独立计算.png
t独立计算.png
日期:
2023/03/19 15:19
名称:
t独立计算.png
格式:
PNG
大小:
14KB
宽度:
920
高度:
300
相关的:
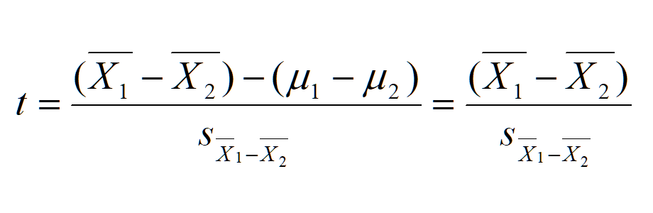
独立样本的t统计量
此列表可能不完全是由ACL限制和隐藏的页面。
页面工具
返回到 独立样本的t统计量
回到顶部