跳至内容
PsychStatsWiki
用户工具
登录
站点工具
搜索
工具
显示页面
修订记录
反向链接
最近更改
媒体管理器
网站地图
登录
>
最近更改
媒体管理器
网站地图
您的足迹:
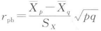
点二列相关系数公式.png
点二列相关系数公式.png
日期:
2023/04/06 11:11
名称:
点二列相关系数公式.png
格式:
PNG
大小:
16KB
宽度:
346
高度:
107
相关的:
点二列相关
此列表可能不完全是由ACL限制和隐藏的页面。
页面工具
返回到 点二列相关
回到顶部