跳至内容
PsychStatsWiki
用户工具
登录
站点工具
搜索
工具
显示页面
修订记录
反向链接
最近更改
媒体管理器
网站地图
登录
>
最近更改
媒体管理器
网站地图
您的足迹:
组内的分解.png
组内的分解.png
日期:
2023/03/25 15:26
名称:
组内的分解.png
格式:
PNG
大小:
18KB
宽度:
910
高度:
89
相关的:
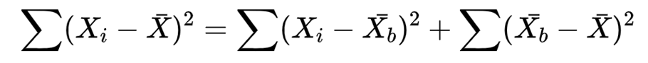
方差的分解
此列表可能不完全是由ACL限制和隐藏的页面。
页面工具
返回到 方差的分解
回到顶部